Handel mit Optionsscheinen

Die Optionsprämie ist ein Konzept im Finanzwesen, das sowohl erfahrene Anleger als auch Neueinsteiger gleichermaßen anspricht. Sie bildet das Herzstück des Optionsmarktes und spielt eine entscheidende Rolle bei der Gestaltung von Anlagestrategien und der Absicherung von Risiken. In diesem Artikel werden wir uns eingehend mit der Optionsprämie befassen - von ihrer Definition bis hin zu den variablen Faktoren, die ihren Wert bestimmen. Unser Ziel ist es, Ihnen ein umfassendes Verständnis für dieses Thema zu vermitteln, damit Sie Ihre Handelsentscheidungen besser treffen können. Tauchen wir ein in die faszinierende Welt der Optionsprämie!
Die Optionsprämie ist der Preis, den ein Käufer einer Option an den Verkäufer zahlt, um das Recht zu erwerben, einen bestimmten Vermögenswert zu einem festgelegten Preis (dem Ausübungspreis) innerhalb eines bestimmten Zeitraums zu kaufen oder zu verkaufen.
Sie setzt sich aus verschiedenen Faktoren zusammen, darunter der aktuelle Marktpreis des Basiswerts, die Volatilität des Marktes, die Restlaufzeit der Option und die Zinssätze. Die Optionsprämie spiegelt die Erwartungen des Marktes bezüglich der zukünftigen Preisentwicklung des Basiswerts wider und kann sich daher je nach Marktlage und anderen Einflussfaktoren ändern.
Die Optionsprämie, die für den Kauf oder Verkauf einer Option gezahlt wird, setzt sich aus verschiedenen Komponenten zusammen. Diese Bestandteile umfassen den inneren Wert, den Zeitwert der Option und die implizite Volatilität des Basiswerts. Jeder dieser Bestandteile trägt zur Gesamtprämie bei und beeinflusst den Preis einer Option auf unterschiedliche Weise.
Der innere Wert einer Option ist der Betrag, um den der Ausübungspreis der Option den aktuellen Marktpreis des Basiswerts übersteigt. Bei einer Call-Option ist der innere Wert positiv, wenn der Marktpreis des Basiswerts über dem Ausübungspreis liegt, während bei einer Put-Option der innere Wert positiv ist, wenn der Ausübungspreis über dem Marktpreis des Basiswerts liegt. Der innere Wert einer Option stellt den "realen" Wert dar, den der Käufer erhält, wenn die Option sofort ausgeübt wird.
Der Zeitwert einer Option ist der Teil der Optionsprämie, der den Zeitwert des Rechts auf den Basiswert repräsentiert. Er ergibt sich aus der Differenz zwischen der Optionsprämie und dem inneren Wert der Option. Der Zeitwert nimmt mit der verbleibenden Laufzeit der Option ab, da die Zeit bis zum Ablauf der Option abnimmt. Je länger die Laufzeit einer Option ist, desto höher ist in der Regel ihr Zeitwert.
Die implizite Volatilität ist ein Maß dafür, wie stark der Markt erwartet, dass sich der Preis des Basiswerts in der Zukunft ändern wird. Sie wird anhand der Optionspreise abgeleitet und spiegelt die Markterwartungen an die zukünftige Volatilität wider. Eine höhere implizite Volatilität führt zu einer höheren Optionsprämie, da sie ein höheres Risiko für den Verkäufer der Option darstellt.
Angenommen, Aktien X und Z werden jeweils zu 15 $ gehandelt. Über die letzten 6 Monate hinweg verzeichnete Aktie X Schwankungen von 30 %, mit einem Tiefststand von 12,75 $ und einem Höchststand von 17,25 $. Aktie Z hingegen wies Schwankungen von 15 % auf, mit einem Tiefststand von 13,875 $ und einem Höchststand von 16,125 $.
Basierend auf diesen historischen Daten ist die Wahrscheinlichkeit der Ausübung von Optionen mit einem Ausübungspreis von 13 $ für Aktie X höher als für Aktie Z. Gleiches gilt für Optionen mit einem Ausübungspreis von 17 $.
Die Volatilität des zugrunde liegenden Vermögenswerts ist entscheidend für die Optionsbewertung. Historische Volatilität und implizite Volatilität sind die beiden Hauptmaße, die dabei berücksichtigt werden.
👉🏻 Die folgende Artikel könnten Sie interessieren:
Dein Einstieg in die Welt der Optionsscheine
Absicherung mit Optionen: Covered Calls und Protective Puts
Optionen Broker Vergleich: Die besten Anbieter für den Handel mit Optionen im Überblick
Beim Handel mit Optionenprämien spielen diverse Faktoren eine wichtige Rolle für die Preisbildung. Es ist entscheidend, diese Faktoren zu verstehen, da sie maßgeblich die Bewertung und den Handel von Optionen beeinflussen.
Die historische Volatilität misst die vergangene Schwankungsbreite eines Vermögenswerts über einen definierten Zeitraum, typischerweise ein Jahr oder sechs Monate. Sie dient als Indikator für die zukünftige Volatilität, basierend auf vergangenen Marktbewegungen.
Die implizite Volatilität reflektiert die vom Markt erwartete zukünftige Volatilität eines Vermögenswerts. Sie beeinflusst den Preis einer Option und spiegelt die Wahrscheinlichkeit wider, dass die Option ausgeübt wird.
Dividendenzahlungen und -erwartungen beeinflussen den Optionspreis, da sie den Wert des zugrunde liegenden Vermögenswerts beeinflussen. Dividendenzahlungen wirken sich bullisch auf Put-Optionen und bärisch auf Call-Optionen aus.
Der Zinssatz beeinflusst die Optionspreise, da er die Kosten der Finanzierung der Prämie beeinflusst. Ein steigender Zinssatz erhöht die Kosten für die Prämie, während ein niedriger Zinssatz die Kosten senkt.
Die verbleibende Laufzeit einer Option hat direkte Auswirkungen auf ihren Zeitwert. Je länger die verbleibende Zeit bis zum Verfall ist, desto höher ist die Prämie, da mehr Unsicherheit über den zukünftigen Wert besteht. Umgekehrt sinkt die Prämie, je näher der Verfallzeitpunkt rückt.
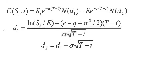
Die Berechnung der Optionsprämie erfolgt mithilfe von Optionspreismodellen, wobei das Black-Scholes-Modell das bekannteste ist. Dieses Modell verwendet verschiedene Faktoren, um den theoretischen Wert einer Option zu bestimmen.

Die Black-Scholes-Merton-Formel ist eine mathematische Gleichung, die zur Bewertung europäischer Call- und Put-Optionen verwendet wird. Sie wurde von Fischer Black, Myron Scholes und Robert Merton entwickelt und 1973 veröffentlicht.
Diese Formel ermöglicht es, den fairen Preis einer Option zu berechnen, basierend auf verschiedenen Faktoren wie dem aktuellen Aktienkurs, der Laufzeit der Option, der Volatilität des zugrunde liegenden Vermögenswerts, dem risikofreien Zinssatz und dem Ausübungspreis der Option. Durch die Anwendung der Black-Scholes-Merton-Formel können Händler und Investoren den Wert einer Option bestimmen und fundierte Entscheidungen beim Handel mit Optionen treffen
Die Einnahme von Optionsprämien beinhaltet den Verkauf von Optionen, entweder Call-Optionen oder Put-Optionen, um die Prämie als Einnahmequelle zu nutzen. Dies kann auf verschiedene Weise geschehen, z.B. durch den Verkauf gedeckter Call-Optionen, ungedeckter Call-Optionen (nackter Verkauf) oder den Verkauf von Put-Optionen. Der Verkäufer einer Option trägt jedoch das Risiko, dass die Option ausgeübt wird, was zu potenziellen Verlusten führen kann. Es ist daher wichtig, dass Verkäufer von Optionen die damit verbundenen Risiken verstehen und entsprechende Risikomanagementstrategien anwenden.